立即注册
/
立即登陆
本站内容仅供参考,欢迎分享和留言
Python
SQL
可视化
概率论
机器学习
读书笔记
实用工具
日程管理
假设检验
小游戏
闲人指数
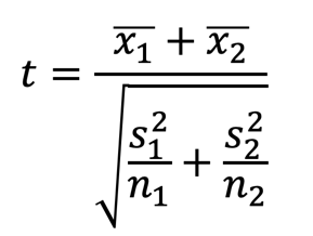
T检验
Z检验
最小样本量
A:
B:
计算
t统计量:
p-value:
比例检验
A:
B:
计算
z统计量:
p-value:
显著性:
功效:
比例检验
样本通过率1:
样本通过率2:
计算
最小样本量: