• 立即注册
    /立即登陆     本站内容仅供参考,欢迎分享和留言
  • Python  SQL  可视化  概率论  机器学习  读书笔记 
    实用工具

    日程管理

    假设检验

     
    小游戏

    闲人指数













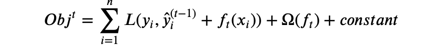
    • 随机森林、xgboost、gbdt的对比

      RandomForest、XGBoost、GBDT和LightGBM都属于集成学习。

      关键词:




    • Kmeans和DBscan聚类算法比较

      1.确定需要聚成多少个簇,K

      关键词:Kmeans,密度聚类




    • 决策树剪枝算法

      (1)输入所有特征数据,计算各特征信息增益,选取信息增益最大的特征作为分类节点

      关键词:CART,C4.5,ID3




    • AB实验

      AB实验本质上就是对照实验,通过对实验对象分组,在不同分组中实行不同的策略,然后对比各组间的数据差异,从而找到最优方案。

      关键词:假设检验,正交实验,双重差分




    • PSM(倾向评分匹配)&DID(双重差分)&断点回归

      对比试验的本质是通过控制变量,来观察其对目标变量的影响。所以必须要排除控制变量外的其他因素的干扰,也就是要在其他条件一致的情况下,对比才有意义。

      关键词:AB实验,归因分析




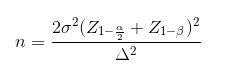
    • 假设检验

      假设(Hypothesis):对总体参数的数值所作的一种概述,包括总体均值、比例、方差等。

      关键词:卡方检验,z检验,t检验,非参数检验




    • 常见面试题(一)

      最近身边有不少小伙伴在考虑跳槽的事情,免不了的会遇到一些SQL的面试题。

      关键词:sql,面试




    • 机器学习相关概念

       

      关键词:查全率,查准率,召回率,精确率,ROC,AUC




    • 常见面试题(三)

      今天是整理的高频hive-SQL面试题的第三弹,包含三个常见问题:

      关键词:sql,面试




    • 少年轻狂

      白果树下,新添憔悴,淫淫碎金瓯。叶上珍珠本无主,雨底黄花更难留。朝来暮色不改,斑斑云霭,闭日锁重楼。
      鹊自回巢,蚓曳涂中,未解此时风流。只白云苍狗,万事终休。每忆当年,几欲冲冠,而今觉浅,折了吴钩。

      关键词:




    • 今朝有酒

      潮头千转,沙沉萍起。客行一世,散发弄舟能有几?山阴雪后、兴尽耳,当喜则喜。
      泛泛之交,燕雀安知杜鹃啼?三两句,汝自东归,吾便向西。往来处,老树病枝,安之也栖。

      关键词:




    • 但觉新来懒上楼

      春日近,征衫薄。客作江南三四月,闲情毅志,无着落。且休休,漫若弃冠褪履,抟祖高卧。
      南飞雁,东流水,老去哪堪说。青髯戟指,潘鬓消磨。卷云舒袖揽月渡天河,餐风饮露吸霞履清波。

      关键词:




    • 我最怜君中宵舞

      谁道人生惆怅?莫把酒醉今朝。都说人生酣畅,男儿带刀、挥毫。竞平生力气,把太行、王屋推倒。凌云志,比天高。
      踏波千里,抛杯脱帽。穷途未决,壮士皆豪。试把乾坤变化,芥子须弥,哪个能逃。风过于野,合抱折腰;流经磐石,砥砺磨销。

      关键词:




    • 早岁哪知世事艰

      照林风晚,腥汗似雨初霁。执蕉叶,追风捕影、激扬浊气。得闲片刻,渐囊空如洗。
      左右参差,连海接天斑陆离。进退连环,胼手胝足不染泥。本是垄头客,奈何倦布衣?

      关键词:




    • 幼稚

      晨初不见日,岁末方得值。此夕无照,疏雨沥沥,老雁难为使。算人间万事,那堪一笑?愁予。

      关键词:




    • 志不在此

      青山不改旧恨,明月又添新愁。归雁年年,南北去留。只我不得翼,独望曹州。
      尘埃周流未休,野马奔腾依旧。征途漫漫,上下索求。唯我最知足,慢说兜鍪。

      关键词:




    • 长恨春归无觅处

      老鹊嘈嘈,带斜阳渐归。重重暮霭,倏变苍狗年年岁岁。看道旁行人、又双双对对。得叹人间少个我。
      已非年少,凭甚狼毫恣挥?高林闲鹤,或相识,残山剩水。南柯旧枝,正是只鸟向谁?待鸡皮鹤发成堆。

      关键词:




    • 垂死病中惊坐起

      樽中月好,梦里花红。暑夜难消、年少露华浓。肯忆前朝,故国称雄。予生二十载,半数与君同。 
      桃李琼琚,惟赠吾兄:雁阵方成,莫作孤鸿。前生造化,依旧万世从容。把酒啐西风,长枪破劫履长虹。

      关键词:




    • 最高楼·酬知己

       杯中物,难托吾赤心。山横路沉沉。是伯牙山高断流水,是子期而后再无琴?松间风,云边月,莫独吟。
      从无恨,稚子君相亲。乃有心,秋风染我鬓。叹契阔,念旧恩。大千灼灼冠冕客,小镇落落纪郭陈。知何往?山共水,鸟归林。

      关键词:




    • 吊稼轩

      鹈鴂、鹧鸪声声住。无限斜阳,遍染黄昏树。锦襜突骑旧时路,可怜天堑不忍渡。廉颇未老,锈满湛泸。

      关键词:




    • 少年不识愁滋味

      花间处处堪酌,而今倦了西风,哪有愁生。故人多笑我,休咎自拟,径须直行!鸦鬓垂松,怨君不语,风味几人同?

      关键词:




    • 愁知己

        雨重几多愁? 风高一树秋。花开非昨日,双鲤再难求。

      关键词:




    • 千里共婵娟

      昔我往矣,今汝来思,争相似?故园霏霏霜草地,冉冉新城未可及。时时看取,飞絮缠丝,病如痴。与君说,岁寒不耐,且添衣。
      此际萧颯,也将三五,终难敌他红叶掩余霞。白日殷勤,久夜独醒,只是醉眠些。待月许,公等还家,续饮重斟,最宜些。

      关键词:




    • 第七次人口普查

      在万众期待之下,伴随着各种质疑和猜测,第七次全国人口普查数据千呼万唤始出来,终于在11日公之于众。

      关键词:人口普查,用户画像




    • 一个令人头秃的问题

      最近刷微博、知乎,总是看到“植发“广告,师兄不禁腹诽:我这是被精准营销了么?

      关键词:回归分析




    • 常见面试题(二)

      在上期的SQL题目中,我们以求连续活跃为例,讲述了lead 、lag错位相减的用法。但若不采用错位相减的花,其实也可以实现这一目的。本次我们就先讲述一下最大连续活跃天数的第二种解法,然后再讲述另一常见面试SQL题目。

      关键词:sql,面试




    • 爬一下招聘网站,看看数据人工作前景如何

      春天到了,万物复苏,又到了跳槽的季节。

      关键词:爬虫,数据分析,可视化




    • 数据人,数据魂,数据就是人上人?

      从事数据分析工作有些年头了,不敢说积累了什么丰富的经验,但确实干了很多傻逼又苦逼的活儿,受了不少委屈和折磨,攒了一肚子牢骚,不吐不快。今天我们不谈经验,只管吐槽!

      关键词:数据分析师,职业发展




    • 图样图森破——pyecharts之地图

      在之前南丁格尔玫瑰图的介绍中,我们把各个国家的疫情数据以玫瑰图的形式进行了展示,但是当涉及到的国家数量较多时,玫瑰图也并不能完美地展示出所有国家。这个时候,我们很自然地就想到了在世界地图上表示表示各个国家的,那么在pyecharts中如何实现呢?

      关键词:地图,pyecharts,可视化




    • 牛刀小试——《你好,李焕英》影评词云

      最近,贾玲导演的电影《你好,李焕英》在春节档一众电影中脱颖而出,成为了一匹黑马,更是中国影史上第三部票房破50亿的电影。

      关键词:词云,李焕英,贾玲




    • 图样图森破——pyecharts之词云图

      在做文本分析和关键词统计的时候,我们经常会使用到词云图来展示关键词词频。pyecharts当然也支持词云的生成,并且还可以自定义词云形状。

      关键词:pyecharts,词云,可视化




    • 图样图森破2——Pyecharts之柱状图

      ​开局先上图,代码在结尾哦!

      关键词:python,可视化,echarts




    • 爱爱爱爱

      111我的、

      关键词:




    • 图样图森破--Pyecharts是个啥

      工欲善其事,必先利其器。作为数据分析师,最基础的工作肯定就是数据查询和可视化了。今天,我们就来说一说分析师吃饭的家伙之一——可视化工具。

      关键词:python,可视化,echarts




    • 日期格式处理的几种方法

      转眼2021都快过了一个月了,不知道大家是否在写日期的时候还是会不自觉地写下“2020-XX-XX”?

      关键词:sql,时间格式




    • 图样图森破——pyecharts之时间轴

      在可视化工作中,我们通常会根据数据的维度分类来制作图表,比如用户性别、年龄段、地区等自然属性,抑或是用户等级、活跃程度、是否付费等行为属性。这时就需要把各属性值组合在一起进行比较,但量少了还好说,一旦属性值过多,很容易使得绘图区混乱无需,严重影响数据的表达效果。

      关键词:python,可视化,echarts,时间轴




    • 图样图森破——pyecharts之玫瑰图

      说起玫瑰图,大家可能不是很熟悉,但是对它的表亲饼图(扇形图)应该都不陌生了。

      关键词:pyecharts,玫瑰图,饼图,可视化










    鲁ICP备2021045560号 | © 2021 CP版权所有 |